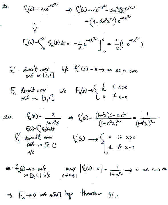
Lecture A7

Page 3 NEXT PREV UP