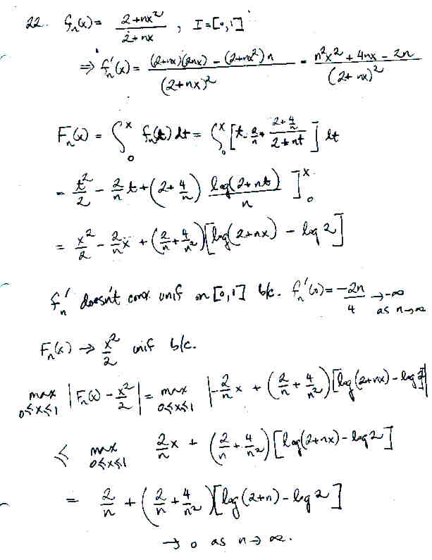
Lecture A7

Page 2 NEXT PREV UP