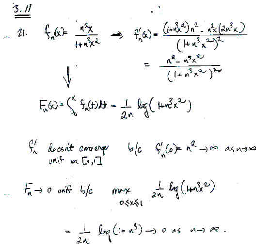
Lecture A7

Page 1 NEXT UP