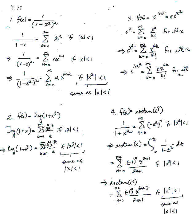
Lecture A7

Page 4 NEXT PREV UP