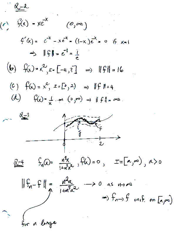
Lecture A9

Page 20 UP PREV