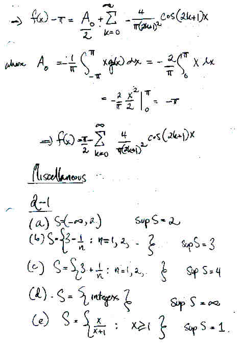
Lecture A9

Page 19 NEXT PREV UP