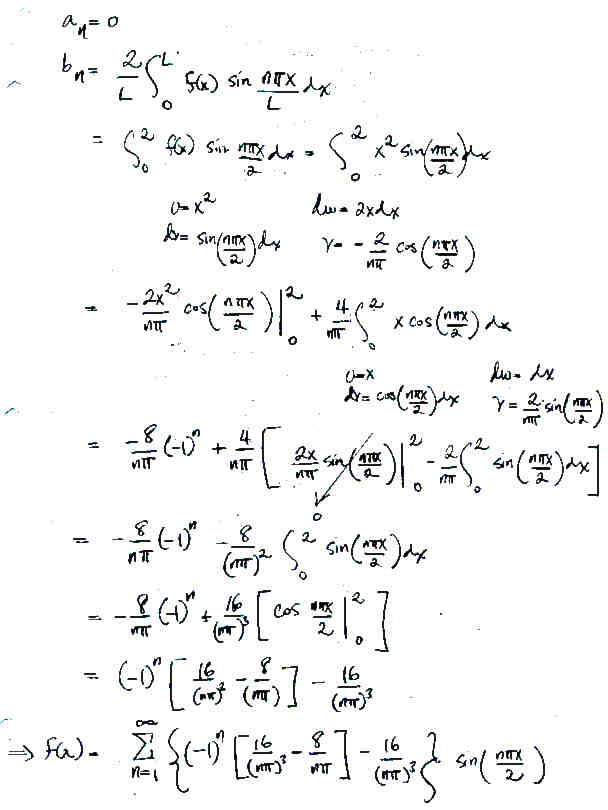
Lecture A9

Page 10 NEXT PREV UP