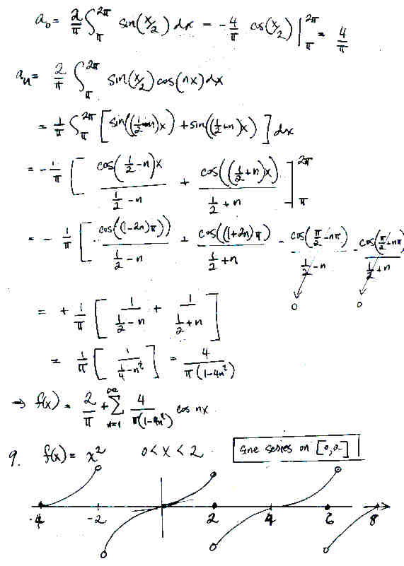
Lecture A9

Page 9 NEXT PREV UP