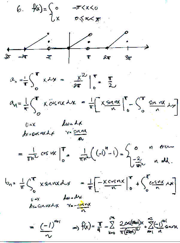
Lecture A8

Page 11 NEXT PREV UP