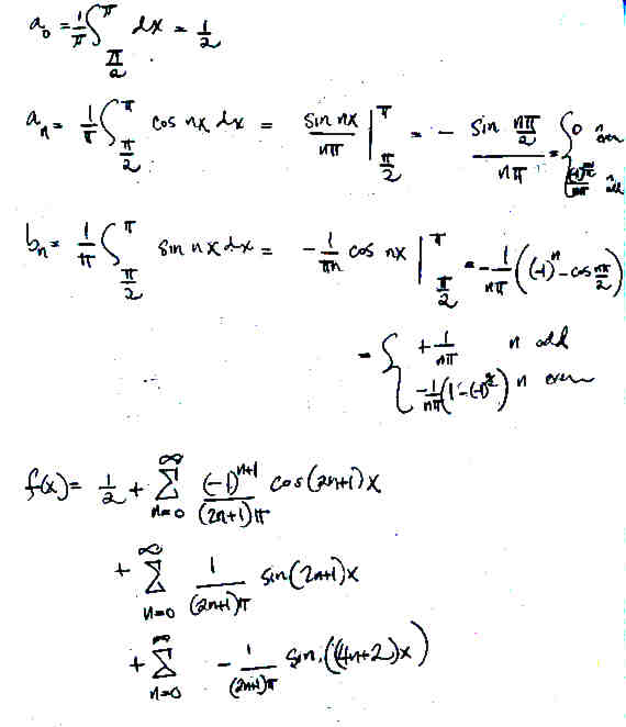
Lecture A8

Page 10 NEXT PREV UP