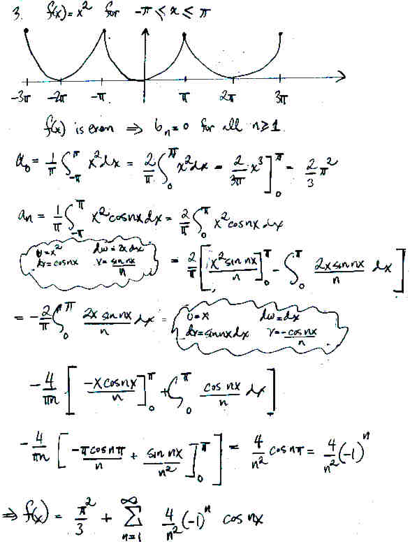
Lecture A8

Page 2 NEXT PREV UP