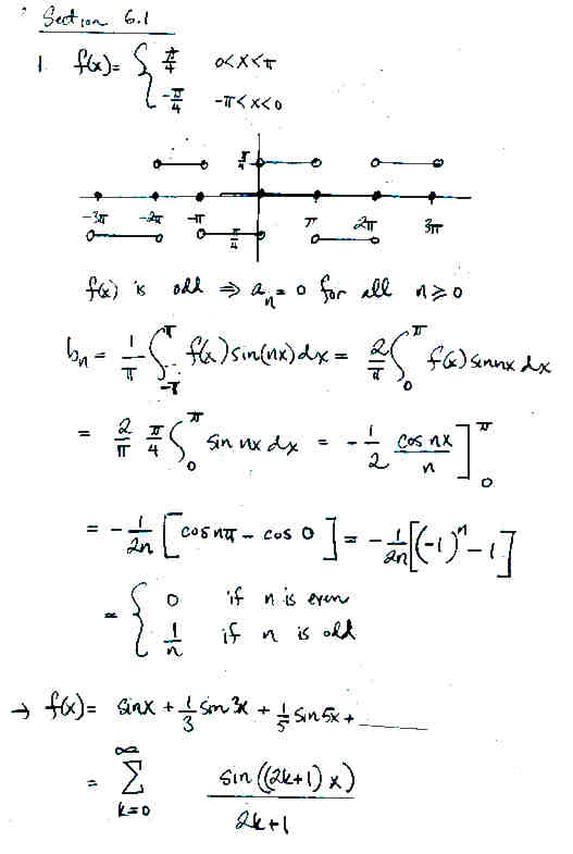
Lecture A8

Page 1 NEXT UP