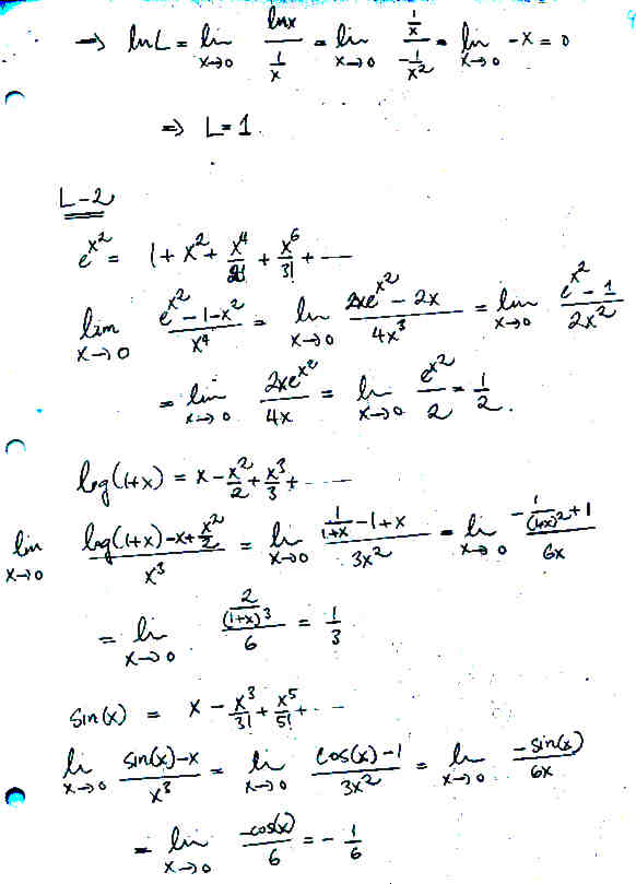
Lecture A6

Page 9 NEXT PREV UP