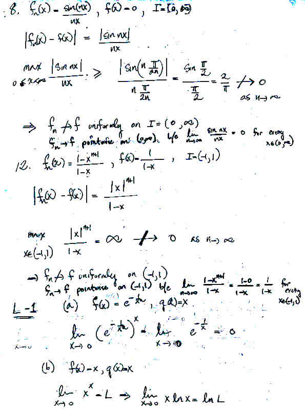
Lecture A6

Page 8 NEXT PREV UP