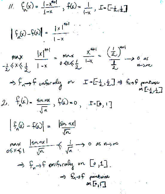
Lecture A6

Page 6 NEXT PREV UP