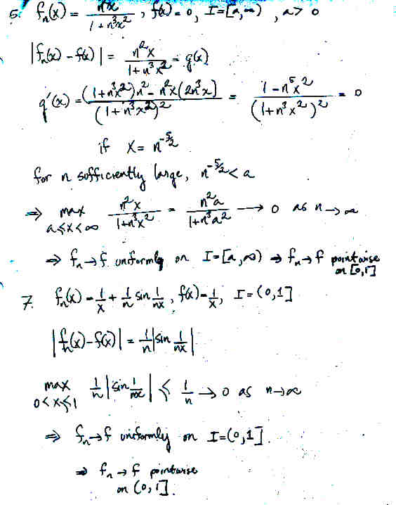
Lecture A6

Page 5 NEXT PREV UP