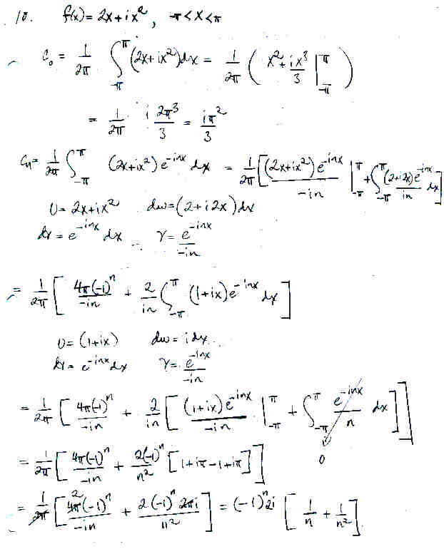
Solutions A10

Page 9 NEXT PREV UP