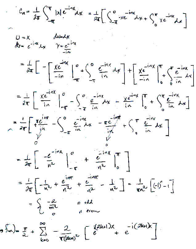
Solutions A10

Page 8 NEXT PREV UP