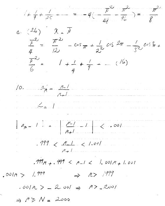
Lecture A1

Page 9 UP PREV