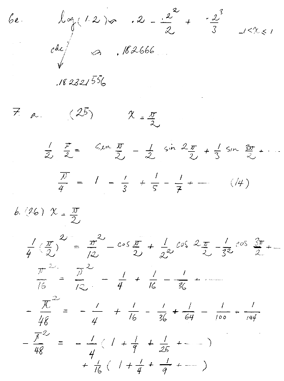
Lecture A1

Page 8 NEXT PREV UP