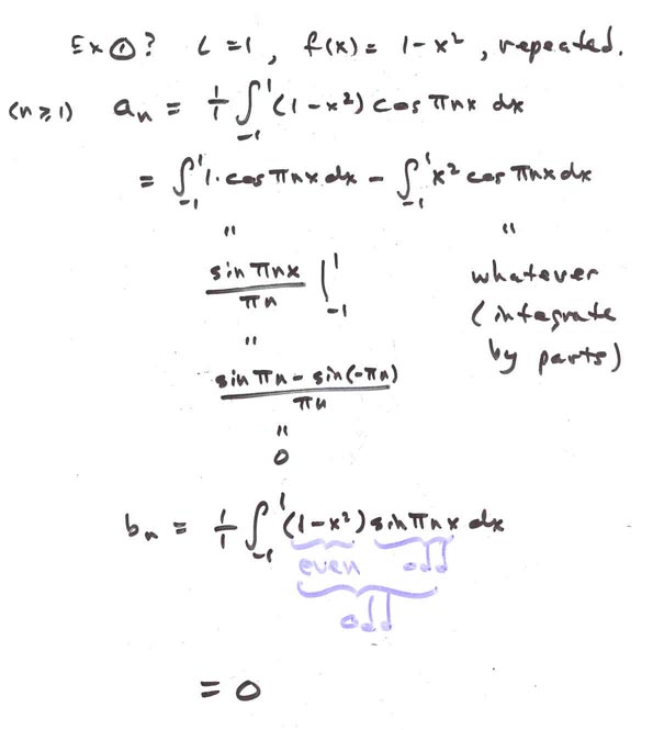
Lecture 9W

Page 5 NEXT PREV UP