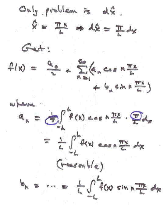
Lecture 9W

Page 4 NEXT PREV UP