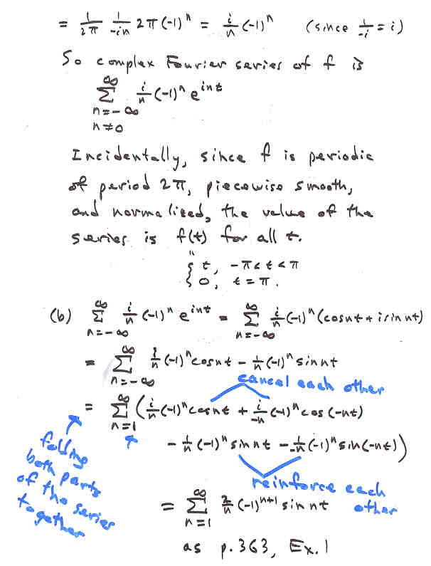
Lecture 9F

Page 15 NEXT PREV UP