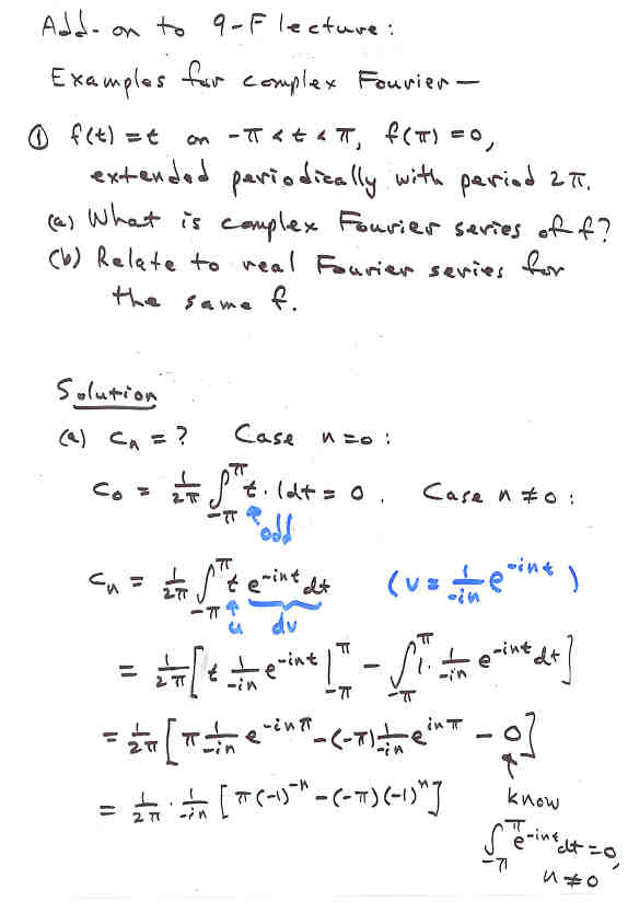
Lecture 9F

Page 14 NEXT PREV UP