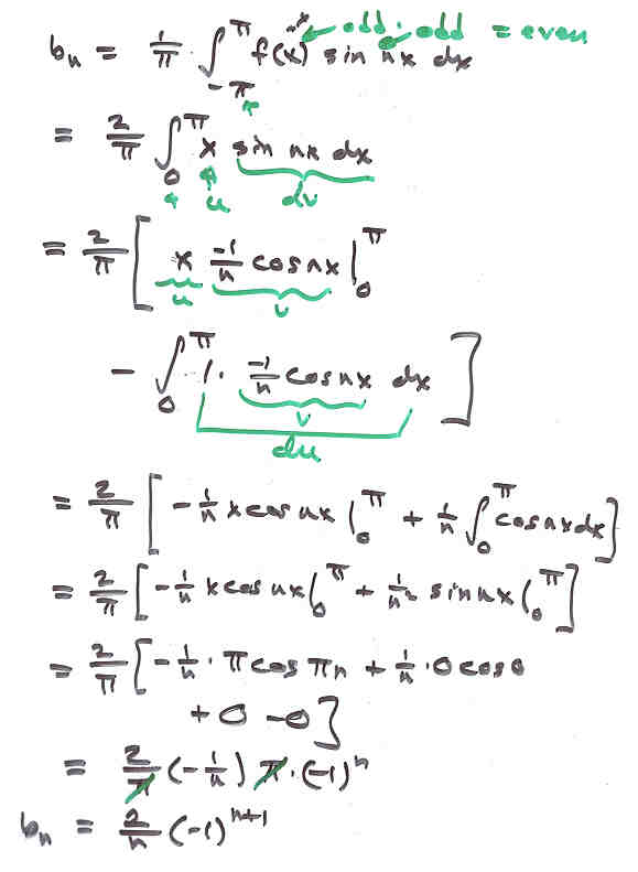
Lecture 8W

Page 7 NEXT PREV UP