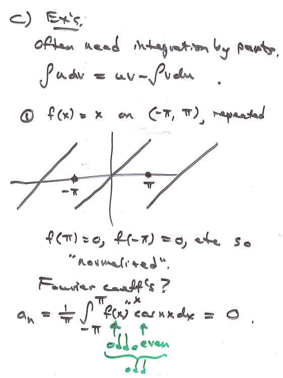
Lecture 8W

Page 6 NEXT PREV UP