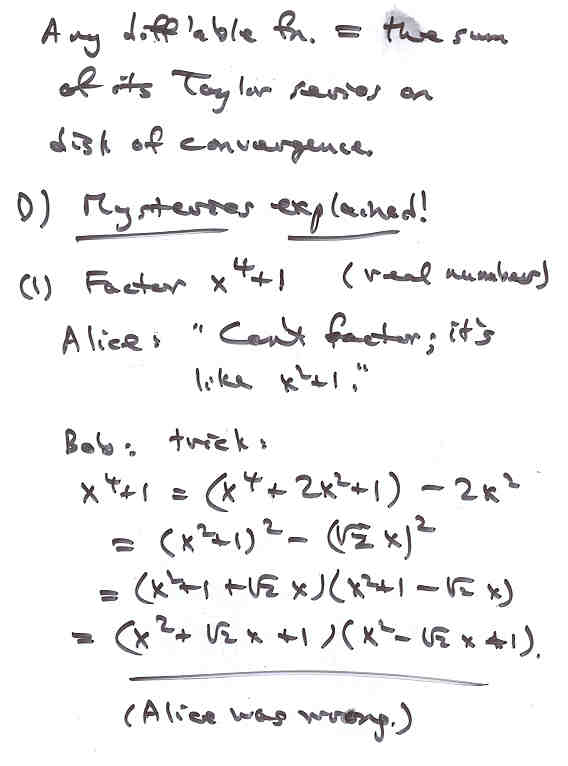
Lecture 7M

Page 8 NEXT PREV UP