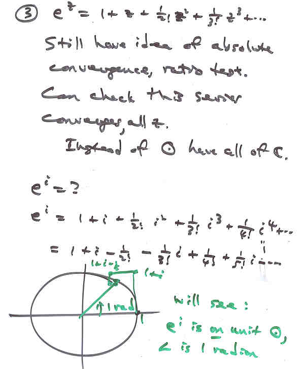
Lecture 7M

Page 7 NEXT PREV UP