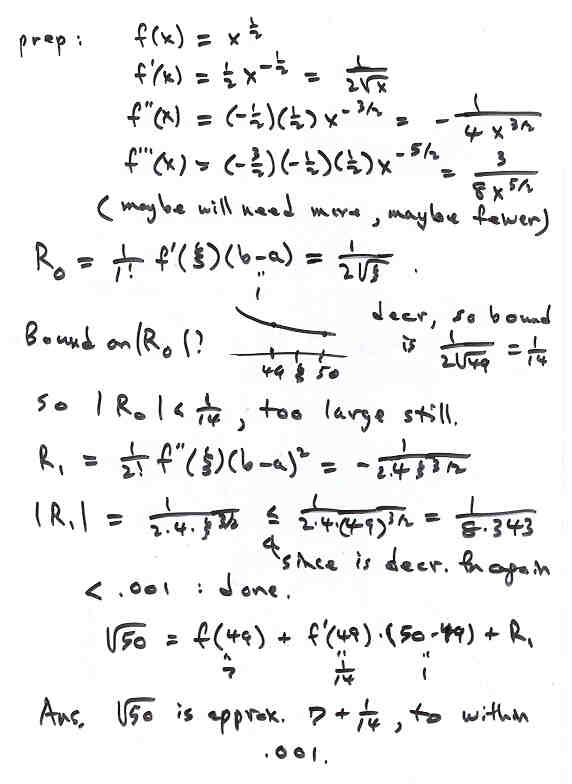
Lecture 4M

Page 3 NEXT PREV UP