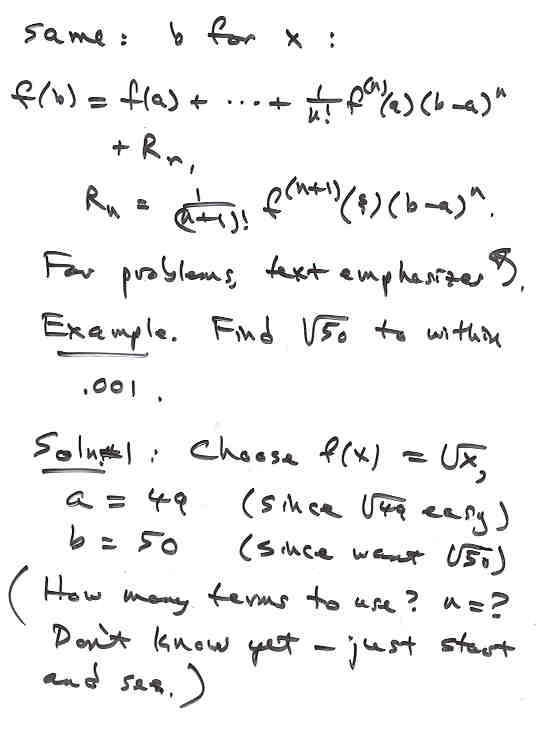
Lecture 4M

Page 2 NEXT PREV UP