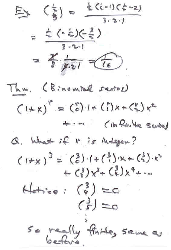
Notes 10W

Page 4 NEXT PREV UP