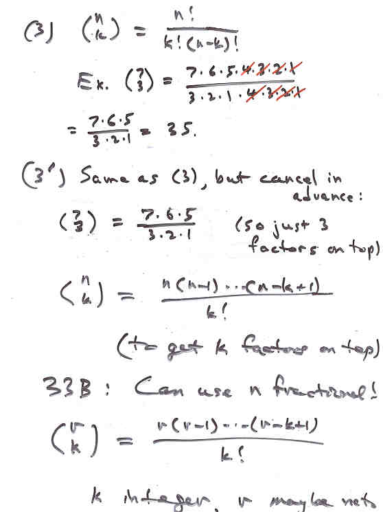
Notes 10W

Page 3 NEXT PREV UP