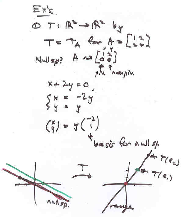
Notes 5W

Page 7 NEXT PREV UP