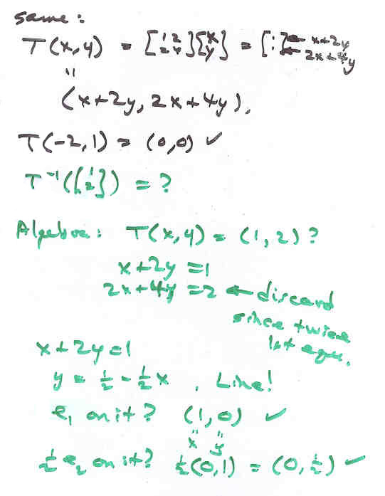
Notes 5W

Page 6 NEXT PREV UP