Taylor expansion for a few examples

Example 1: Expand f(x) = exp(x), around x0=0

A simple matlab code,

taylor1.jpg



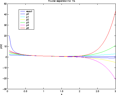
Example 2: Expand f(x) = 1/x, around x0=1

A simple matlab code,

Taylor/taylor2.jpg