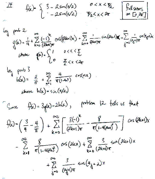
Lecture A9

Page 16 NEXT PREV UP