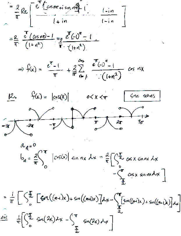
Lecture A9

Page 5 NEXT PREV UP