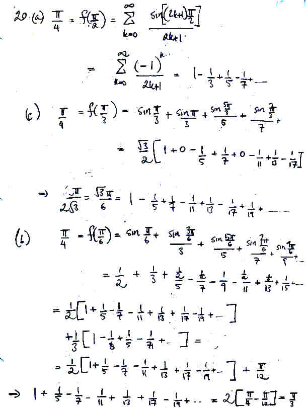
Lecture A8

Page 15 NEXT PREV UP