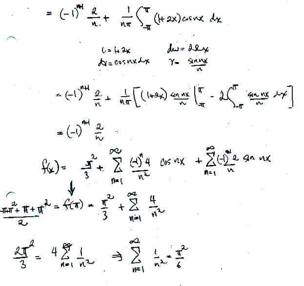
Lecture A8

Page 8 NEXT PREV UP