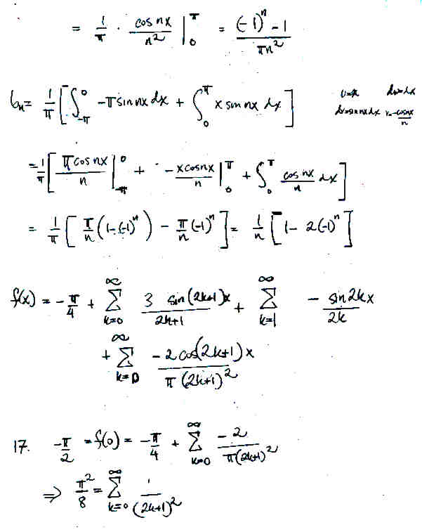
Lecture A8

Page 6 NEXT PREV UP