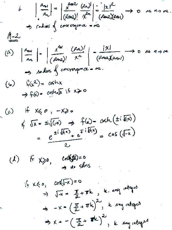
Lecture A7

Page 8 NEXT PREV UP