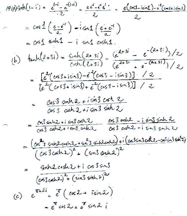
Lecture A7

Page 6 NEXT PREV UP