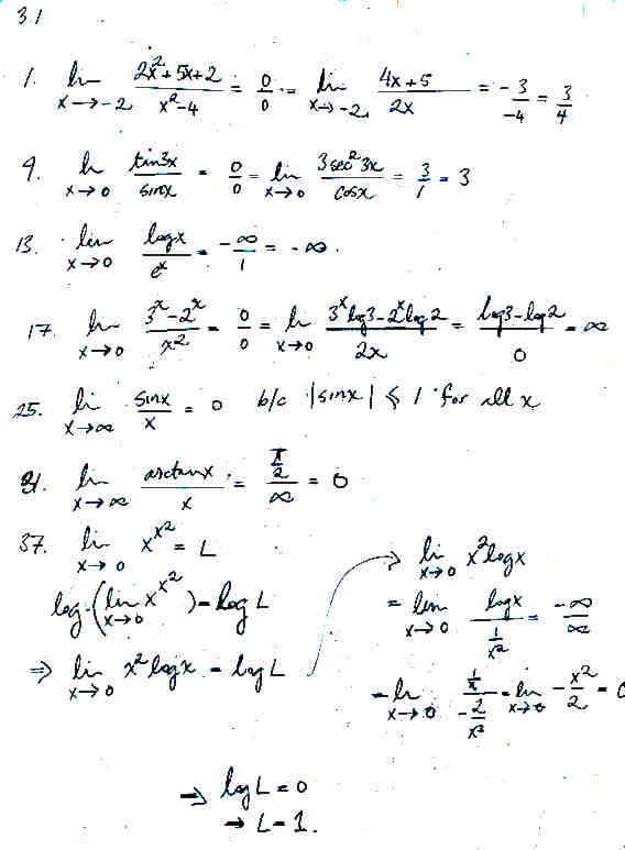
Lecture A6

Page 1 NEXT UP