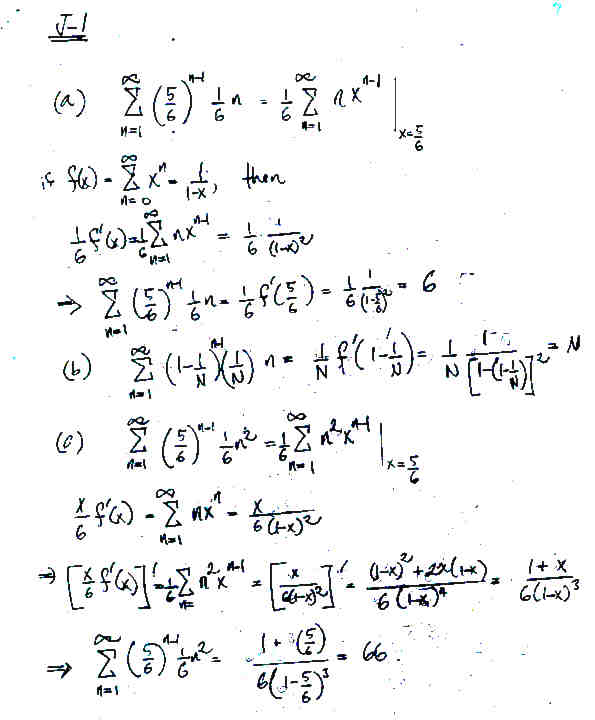
Lecture A5

Page 7 UP PREV