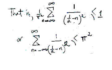
Solutions A10

Page 11 UP PREV