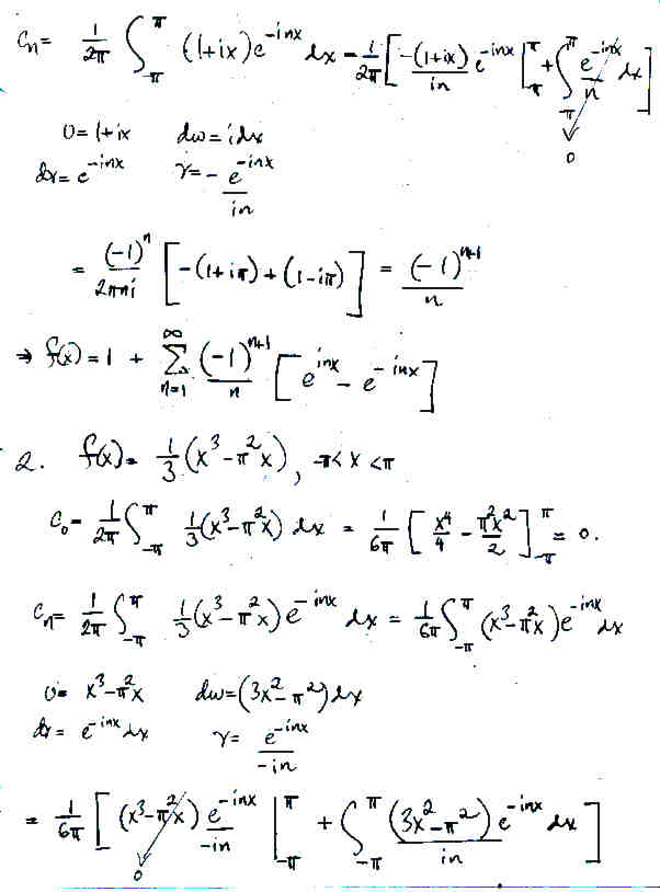
Solutions A10

Page 6 NEXT PREV UP