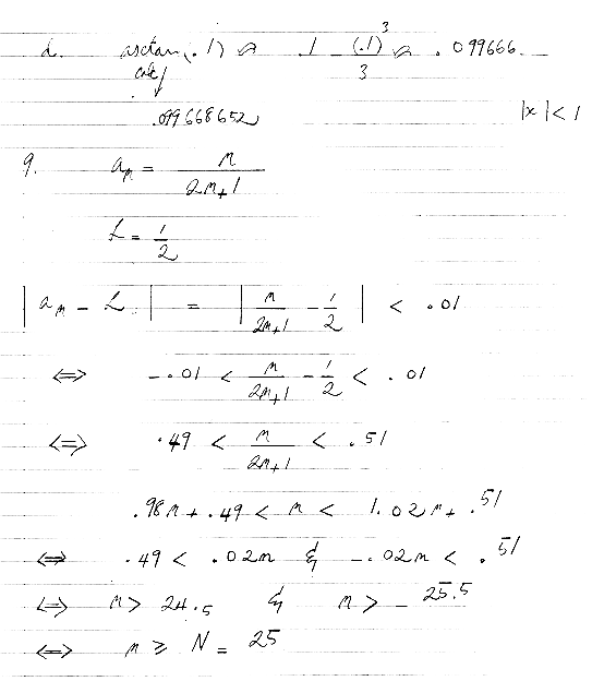
Lecture A1

Page 6 NEXT PREV UP