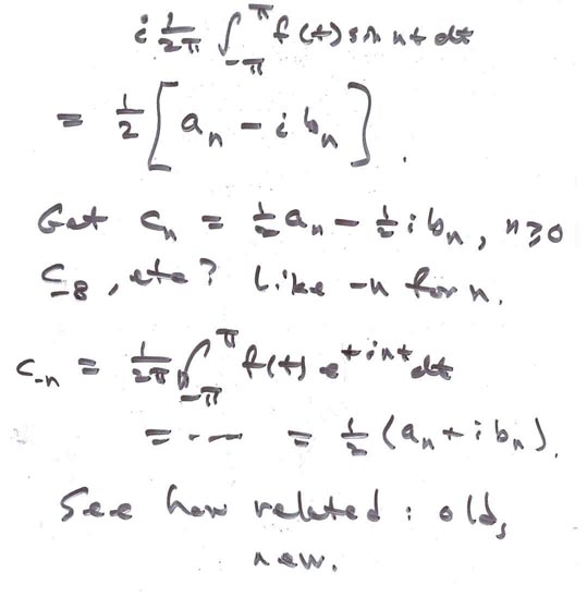
Lecture 9W

Page 13 UP PREV