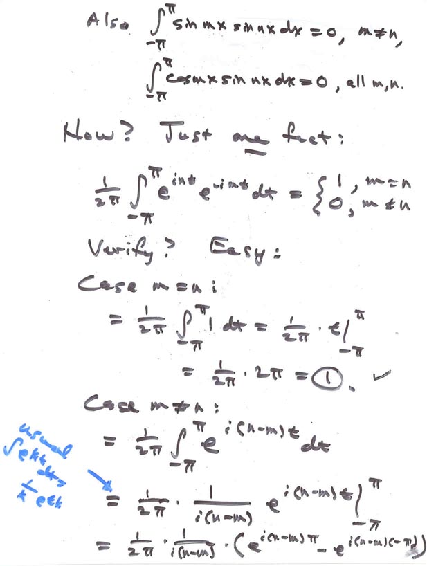
Lecture 9W

Page 11 NEXT PREV UP