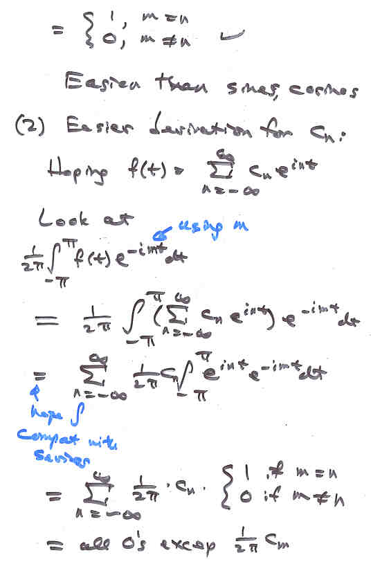
Lecture 9F

Page 7 NEXT PREV UP